Insilico Medicine Publishes Phase IIa Results in Nature Medicine on Rentosertib, Novel AI-Designed TNIK Inhibitor for Idiopathic Pulmonary Fibrosis
Insilico Medicine Publishes Phase IIa Results in Nature Medicine on Rentosertib, Novel AI-Designed TNIK Inhibitor for Idiopathic Pulmonary Fibrosis

In a groundbreaking advancement in pharmaceutical science, Insilico Medicine has unveiled the first proof-of-concept clinical validation of a drug discovered entirely through generative artificial intelligence (AI). Published on June 3, 2025, in the prestigious journal Nature Medicine, this milestone study introduces Rentosertib (ISM001-055), a novel TNIK kinase inhibitor developed for idiopathic pulmonary fibrosis (IPF). This Phase IIa randomized, double-blind, placebo-controlled clinical trial marks a transformative moment by demonstrating that AI-designed molecules can not only enter clinical trials but also exhibit promising safety and efficacy profiles in human disease.
Insilico Medicine’s AI platform, Pharma.AI, harnesses deep generative models integrated with reinforcement learning and transformer architectures to identify novel drug targets and simultaneously generate optimized small molecules. This simultaneous process accelerates drug discovery markedly beyond traditional laborious methods. Rentosertib embodies this innovation: it emerged from a pipeline wherein computational biology and chemistry were unified, resulting in a first-in-class therapeutic candidate targeting Traf2- and NCK-interacting kinase (TNIK), a protein kinase implicated in fibrotic processes within lung tissue.
Idiopathic pulmonary fibrosis is a relentless, fatal disease characterized by progressive lung scarring and functional decline. Despite antifibrotic drugs approved in the last decade, the median survival remains limited to three to four years, underscoring the urgent need for novel treatments with greater efficacy and disease-modifying potential. By specifically inhibiting TNIK, Rentosertib aims to disrupt cellular signaling pathways driving excessive extracellular matrix deposition, thereby halting or even reversing fibrosis progression.
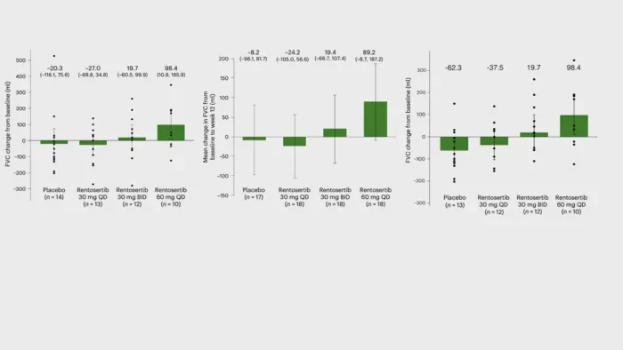
The GENESIS-IPF trial enrolled 71 patients diagnosed with IPF across 22 sites in China. Participants were randomized to receive placebo or varying doses of Rentosertib: 30 mg once daily (QD), 30 mg twice daily (BID), or 60 mg QD for 12 weeks. The study’s primary endpoint assessed safety and tolerability, and Rentosertib met these criteria with a manageable profile of adverse events. Treatment-emergent adverse events (TEAEs) occurred at similar rates across all cohorts and were predominantly mild to moderate in severity, with serious adverse events being rare and resolving after discontinuation.
Perhaps most strikingly, the trial demonstrated a dose-dependent improvement in lung function, assessed by forced vital capacity (FVC)—the gold-standard clinical measure of pulmonary performance in IPF. The highest dose cohort (60 mg QD) experienced a mean FVC increase of +98.4 mL, contrasting with a mean decline of -20.3 mL observed in the placebo group over 12 weeks. Such data suggest Rentosertib’s potential not only to halt lung function decline but also to promote functional recovery, an unprecedented outcome in this challenging disease.
Beyond clinical endpoints, the study included an exploratory biomarker analysis of patient serum proteins to validate the mechanism of action and identify potential prognostic indicators. Results revealed significant, dose- and time-dependent modulation of profibrotic and inflammatory mediators. Notably, proteins heavily implicated in fibrosis such as COL1A1, MMP10, and fibroblast activation protein (FAP) were markedly reduced in the high-dose group, while anti-inflammatory cytokine IL-10 levels increased. These protein dynamics closely paralleled improvements in FVC readings, reinforcing the biological plausibility of TNIK inhibition reducing fibrosis.
This trial exemplifies the distinctive advantage of AI-driven approaches: rapid discovery, rational design, and swift translation to clinical proof-of-concept. Insilico Medicine’s generative AI platform compressed the traditional drug discovery timeline significantly, achieving candidate nomination within 12–18 months from project inception. This is in stark contrast to the typical 2.5 to 4 years historically required to identify and develop preclinical candidates, demonstrating AI’s power to dramatically accelerate pharmaceutical innovation.
The implications of this work extend beyond IPF. The TNIK kinase, once a relatively obscure target, was prioritized through AI-driven systems analyzing vast datasets to identify novel molecular targets linked to fibrotic pathways. Rentosertib showcases how algorithmically guided target discovery can illuminate previously untapped biological mechanisms and translate rapidly into therapeutics with potential cross-disease applications, including other fibrotic or inflammatory disorders.
Alex Zhavoronkov, PhD, founder and CEO of Insilico Medicine, emphasized that these findings propel the pharmaceutical industry into a new era where AI is integral not just to early discovery but throughout clinical development. “Rentosertib’s Phase IIa results demonstrate both safety and encouraging efficacy, warranting larger and longer studies,” he stated. “This represents a paradigm shift, underscoring AI’s transformative potential to unlock therapies faster and at lower costs.”
Lead investigator Dr. Zuojun Xu, from Peking Union Medical College, noted the clinical significance of these findings against the backdrop of IPF’s unmet needs. While cautioning that the relatively small sample sizes necessitate further validation, Dr. Xu conveyed optimism about Rentosertib’s disease-modifying potential given the clear dose-response in lung function and biomarker modulation. This pioneering AI-developed molecule could fill a critical void in IPF treatment strategies.
The success of Rentosertib also underscores a new paradigm in drug development efficiency. Insilico’s sophisticated AI platforms streamline the synthesis and biological testing of far fewer candidate molecules—roughly 60 to 200 per project—compared to thousands screened historically. The company reports a remarkable 100% progression rate from nominated preclinical candidates to Investigational New Drug (IND)-enabling development, underscoring the precision and predictive power of AI-generated drug design.
Moving forward, Insilico Medicine is in dialogue with regulatory agencies to initiate larger-scale, longer-duration clinical trials necessary to confirm Rentosertib’s therapeutic benefit and safety in diverse patient populations. The company’s integration of AI with automation and cutting-edge molecular biology heralds a new frontier in the rapid translation of digital discoveries into tangible clinical advances.
In conclusion, Rentosertib’s compelling Phase IIa results mark a seminal achievement in the history of AI-assisted drug development. This study not only provides hope for IPF patients facing a dire prognosis but also validates the promise of AI as a game-changing tool in the complex arena of drug discovery and development. The fusion of computational intelligence and clinical science embodied by Rentosertib paves the way for accelerated innovation and more personalized, effective therapies across a spectrum of debilitating diseases.
Subject of Research:
Idiopathic Pulmonary Fibrosis and AI-driven drug discovery targeting TNIK kinase.
Article Title:
A generative AI-discovered TNIK inhibitor for idiopathic pulmonary fibrosis: a randomized phase 2a trial
News Publication Date:
3-Jun-2025
Web References:
http://dx.doi.org/10.1038/s41591-025-03743-2
References:
Nature Medicine, Volume 58, Issue 7, June 3, 2025
Image Credits:
Nature Medicine
Keywords:
Generative AI, Clinical trials, Fibrosis, Drug discovery, Molecular targets, Small molecule inhibitors
Enhancing Apple Disease Detection Through Multi-Scale Features and Attention Mechanisms
Next PostMyeloid Cells: Central Architects of the Tumor Microenvironment
Vitamins’ Role and Mechanisms in Obesity Control

